Testfiz.ru - Онлайн тестирование по физике
Тесты по физике
Проверить свои знания!
2010-10 2010-09
2010-08 2010-07
2010-06 2010-05
2010-04 2010-03
2010-02 2010-01
2009-10 2009-09
2009-08 2009-07
2009-06 2009-05
2009-04 2009-03
2009-02 2009-01
2008-10 2008-09
2008-08 2008-07
2008-06 2008-05
2008-04 2008-03
2008-02 2008-01
2007-10 2007-09
2007-08 2007-07
2007-06 2007-05
2007-04 2007-03
2007-02 2007-01
2006-10 2006-09
2006-08 2006-07
2006-06 2006-05
2006-04 2006-03
2006-02 2006-01
2005-10 2005-09
2005-08 2005-07
2005-06 2005-05
2005-04 2005-03
2005-02 2005-01
По темам
 
 
На главную Английский язык Русский язык Математика Химия и биология История География
Тест по физике
 

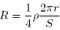
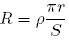
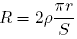
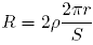
17. Кольцо радиусом r, изготовленное из однородного провода с удельным сопротивлением и поперечным сечением S, соединено в диаметрально противоположных точках в электрическую цепь. Определите сопротивление такого участка цепи.

A)

B)

C)

D)

 

Правильный ответ:

D

 

 

Категория:

Электричество и магнетизм

 

В начало | Предыдущий | Следующий

Если вы заметили орфографическую ошибку, пожалуйста, выделите ее мышью и нажмите Ctrl+Enter

Система Orphus


 
 
  © 2014-2018 “TESTFIZ.RU” Онлайн-тестирование по физике.
При перепечатке материалов и использовании их в любой форме, ссылка на сайт testfiz.ru обязательна.
E-mail: testfiz.ru@mail.ru