Testfiz.ru - Онлайн тестирование по физике
Тесты по физике
Проверить свои знания!
2010-10 2010-09
2010-08 2010-07
2010-06 2010-05
2010-04 2010-03
2010-02 2010-01
2009-10 2009-09
2009-08 2009-07
2009-06 2009-05
2009-04 2009-03
2009-02 2009-01
2008-10 2008-09
2008-08 2008-07
2008-06 2008-05
2008-04 2008-03
2008-02 2008-01
2007-10 2007-09
2007-08 2007-07
2007-06 2007-05
2007-04 2007-03
2007-02 2007-01
2006-10 2006-09
2006-08 2006-07
2006-06 2006-05
2006-04 2006-03
2006-02 2006-01
2005-10 2005-09
2005-08 2005-07
2005-06 2005-05
2005-04 2005-03
2005-02 2005-01
По темам
 
 
На главную Английский язык Русский язык Математика Химия и биология История География
Тест по физике
 

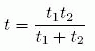
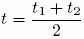
27. Один кипятильник сопротивлением R1, включенный в сеть с напряжением U , нагревает некоторое количество воды до кипения за время t1. Второй кипятильник сопротивлением R2, нагревает туже воду при тех же условиях за время t2. Тогда два этих кипятильника, соединенных последовательно, нагреют воду за время t, равное:

A)

B)

C)

D) t = t1 +t2

 

Правильный ответ:

D

 

 

Категория:

Электричество и магнетизм

 

В начало | Предыдущий | Следующий

Если вы заметили орфографическую ошибку, пожалуйста, выделите ее мышью и нажмите Ctrl+Enter

Система Orphus


 
 
  © 2014-2018 “TESTFIZ.RU” Онлайн-тестирование по физике.
При перепечатке материалов и использовании их в любой форме, ссылка на сайт testfiz.ru обязательна.
E-mail: testfiz.ru@mail.ru